政府信息公开

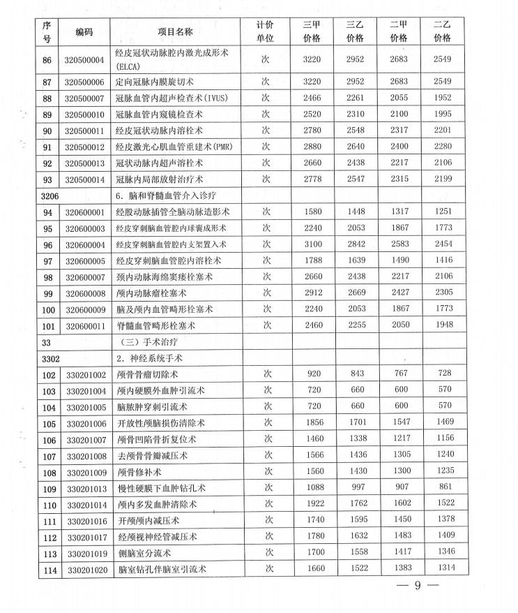
遂宁市发展和改革委员会 遂宁市卫生和计划生育委员会 遂宁市人力资源和社会保障局关于我市公立医疗机构取消医药耗材加成同步调整医疗服务项目价格的通知

    来源:遂宁市发展和改革委员会 发布时间:2022-10-31 09:20 浏览次数: 字体: [ ] 打印

    遂发改2018483






    遂宁市发展和改革委员会  遂宁市卫生和计划生育委员会              


    遂宁市人力资源和社会保障局             

    20181225日                 

        


























    扫一扫在手机打开当前页
    Baidu
    map